| 时代TH200数显A型邵氏硬度计 | 
| 时代THBRV-187.5D/THBRVP-187.5E电动(数显 | 
| 时代THB-3000E/THBS-3000E/THBS-3000DB直读 | 
| THBP-62.5数显小负荷布氏硬度计 | 
| TMVP-1/TMVP-1S大屏数显自动(手动)转 | 
| 时代TMVM-1触摸屏显微维氏硬度计 | 
	机械振动正弦信号的峰值、峰峰值、有效值和平均值--测振仪系列知识讲座四
	
	机械振动正弦信号的峰值
	是指正弦信号波形的正半周或负半周的顶峰与时间坐标轴线之间的最大偏离值,其实它就是前面所讲的幅值。
	
	机械振动正弦信号的峰峰值
	是指正弦信号波形的正负半周二个顶峰(波峰和波谷)之间的幅值之和,它也称之为双峰值。
	
	机械振动正弦信号的有效值
	其物理意义是从电工学上引入的:
	电工学上所叙述的 有效值 是指:一个正弦交流电i(t)的平均作功能力 等效 直流电I的作功能力,此时直流电I的数值就 等效 于交流电i(t)的数值。
	在图2-4所示的两个数值完全相同的电阻R中,分别通以正弦交流电流i(t)和直流电流I。
	当正弦交流电流i(t)通过电阻R时,该电阻在某一时间间隔T内消耗的电能为:
	 
 (2-4)
	当直流电I通过同样电阻R时,在相同的时间间隔T内所消耗的电能为:  
	 
 (2-5)
	 
	
	图2-4 正弦交流电流与直流电流热效应的比较
	
	假定在交流电的一个周期的时间内,这两个电阻消耗的电能相等。即令:式(2-4)等于式(2-5),就得到正弦交流电有效值的计算公式:
	即:
	WI=Wi 
	
  (2-6)
	故:
	 
 (2-7)
	对于正弦交流电来讲,设其电流瞬态值为:
	  
(2-8)
	将式(2-8)代入式(2-7)并解式(2-7)得到其正弦交流电的有效值为:
	 
 (2-9)
	由此可见,正弦交流电的有效值I(不是i(t) !)等效于 其幅值(最大值Imax)的0.707倍,即:用直流电I值就可以 等效 代替此瞬时刻的正弦交流电i(t)值,这个数值就是正弦交流电有效值。(由于正弦交流电的瞬态值无法用数值来显示,所以通常正弦交流电表上显示的数值,实际上都是用上述的交流电有效值来表示的)
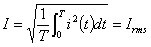
	由式(2-7)可见,正弦交流电的 有效值 实质上是正弦交流电的 均方根值Irms,(“均方”指的是其函数式的平方在一个周期内的平均值;“根”是平方根之意)即:
	  
(2-10)
	均方根值的计算公式,可看成为正弦信号 有效值 的定义式,即如式(2-10)所述。
	由于简谐振动信号同属于正弦信号的范畴,所以式(2-10)在简谐振动信号中引申为:
	  
(2-11)
	这样定义的有效值,是从能量的角度上来考虑的,即它既考虑到正弦信号随时间变化的经历过程(不像“峰值”与“时间历程”无关),同时又表示其能量的大小。
	如:振动位移的有效值与位能有关,振动速度的有效值与动能有关,振动加速度有效值的大小,直接关系到惯性力的大小。在高频振动时,虽然振幅值很小,但是由于加速度是位移值的ω2倍,因而引起零件惯性力破坏常常发生在高频,所以,国际上近来特别重视监视高频振动,除了要求测量仪器满足振动烈度(强度)标准外,还要求满足1kHz ~ 10kHz乃至更高频率的振动监视和测量。
	
	4.4 机械振动正弦信号的平均值
	在工程上又称之为“绝对平均值”。其定义是:正弦信号在一个周期内的平均值,即:
	  
(2-14)
	从式(2-14)中可看出,虽然平均值也涉及了时间历程,但它的力学意义不明确。目前,在工程测量中很少采用。
	注:测振仪系列知识讲座为连载文章,http://www.101718.com/tech/cezhenyi/434.html继续下一篇测振仪系列知识讲座。
	
	阅读本文的用户还对以下文章感兴趣:
	信号频域分析方法--测振仪系列知识讲座九
	信号的时域分析方法--测振仪系列知识讲座十
	测振仪的设计与使用